A PHP extension that allows you to:
- walk through your code by Remote Debugging
- find bottlenecks in your application by Profiling
- find Code Coverage in a single request
- trace your application by logging all function calls
- Debug from host when server is running docker/vagrant
- Either debug on each request or JIT (Just-in-time) when error occurs
- Evaluate code/Modify variables at Run-time
- Debug web applications as well as CLI scripts
- Multi-user debugging with DBGp proxy
Protocol Specification: https://xdebug.org/docs-dbgp.php
The protocol provides a means of communication between a debugger engine (XDebug) and a debugger IDE (IDE, etc.).
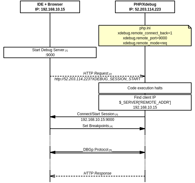
- IDE/Editor starts a debug client server on PORT 9000
- User sends session initiation command to the Debugger Engine (XDebug)
- Debugger Engine(XDebug) initiates a debugging session and makes a connection to the remote IDE, send an INIT packet and wait. It doesn't execute any code yet
- IDE negotiates features or set any breakpoints
- IDE send commands to interactively walk through the code
Unknown IP/Multiple User:
Find out more of these charts here
Using PECL
pecl install xdebug
Next, update php.ini /usr/local/etc/php/php.ini with following directives:
zend_extension=/usr/local/lib/php/extensions/no-debug-non-zts-20131226/xdebug.so
; Enable Remote Debugging
xdebug.remote_enable=1
; If enabled, ALWAYS start a Remote Debugging session,
; even if the GET/POST/COOKIE variable was not present
xdebug.remote_autostart=0
; Selects the host where the debug client is running
xdebug.remote_host=192.168.10.2
; The port to which Xdebug tries to connect on the remote host.
xdebug.remote_port=9000
; If enabled, the xdebug.remote_host setting is ignored and
; Xdebug will try to connect to the client that made the HTTP request.
; It checks the $_SERVER['HTTP_X_FORWARDED_FOR'] and $_SERVER['REMOTE_ADDR'] variables to find out remote IP
xdebug.remote_connect_back=1
; Selects when a debug connection is initiated.
; Available values: req, jit
xdebug.remote_mode=req
; Controls which IDE Key Xdebug should pass on to the DBGp debugger handler.
xdebug.idekey=PHPSTORM- Using GET/POST parameters:
- Use
XDEBUG_SESSION_START=idekeyin the GET/POST parameter to start a session. It'll also create aXDEBUG_SESSIONcookie. Pass empty session name if you don't want to create any cookie. - Use
XDEBUG_SESSION_STOPin GET/POST parameter to stop a session. XDEBUG_SESSION_STOP_NO_EXEC: works in the same way asXDEBUG_SESSION_STOP, except that the script will not be executed
- Use
- Using HTTP Cookies:
- Create a cookie
XDEBUG_SESSIONwith any value to signal XDebug to start a debugging session - As long as the cookie is valid, you don't need to send another session start signal.
- Default cookie lifetime is 1 hour.
- Create a cookie
If enabled, the xdebug.remote_host setting is ignored and Xdebug will try to connect to the client that made the HTTP request. It checks the $_SERVER['HTTP_X_FORWARDED_FOR'] and $_SERVER['REMOTE_ADDR'] variables to find out which IP address to use.
Please note that there is no filter available, and anybody who can connect to the webserver will then be able to start a debugging session.
Selects when a debug connection is initiated. This setting can have two different values:
req(default): Xdebug will try to connect to the debug client as soon as the script starts.jit: Just-In-Time debug mode where Xdebug will only try to connect to the debug client as soon as an error condition or a breakpoint occurs.
remote_connect_backsetting won't work- There in no GET/POST/COOKIE paramater
- Use
XDEBUG_CONFIGenvironment variable to start session
XDEBUG_CONFIG="remote_host=192.168.10.15 idekey=somekey" php /path/to/script.php
Often it is the situation when the php server is running on a different network than your local network and there is a firewall which prevents communication between them. Or sometimes your local network isn't directly accessible from the internet. Couple of solution in that scenario are:
With ssh we can allocate a socket to listen to on the remote server and forward all requests to our local port over a secure tunnel:
ssh -N -T -R 9000:localhost:9000 user@host
and the php.in config on remote server would look like this:
xdebug.remote_host=localhost
xdebug.remote_port=9000
xdebug.remote_connect_back=06.2 Tunneling from a public endpoint via ngrok
Using ngrok we can make our Xdebug client publicly available so the remote server can connect to it. If your server is running on Kubernetes pods then this might be the easiest solution, since Kubernetes doesn't support reverse port-forwarding yet.
ngrok tcp 9000
Running above will give us a public endpoint, we can update our php.ini with that endpoint url:
xdebug.remote_host=0.tcp.ngrok.io
xdebug.remote_port=16751
xdebug.remote_connect_back=0Find out more about debugging with ngrok at here
- Debugclient : For CLI debugging
- Xdebug Chrome Addon
- IDE based clients:
- SublimeText package: XDebug Client
- xdebug_break(): Add breakpoint in the code, like
debuggercommand in javascript. - Xdebug-helper: Chrome addon to start/stop remote debugging session. Uses cookies to start session.
- How extensions work: Zend API: Hacking the Core of PHP
- Remote Debugging Documentation
- MSGEN
