Skip to content

Instantly share code, notes, and snippets.

@v0y4g3r
v0y4g3r / keybase.md
Created July 22, 2022 02:40
keybase.md

Keybase proof

I hereby claim:

  • I am v0y4g3r on github.
  • I am v0y4g3r (https://keybase.io/v0y4g3r) on keybase.
  • I have a public key whose fingerprint is 168A F07A 606C D0C3 DCF0 7902 0C6F 8831 B4C9 81E1

To claim this, I am signing this object:

@v0y4g3r
v0y4g3r / pre-commit.sh
Created March 9, 2019 09:35
gogs使用latex公式无法使用下标(与emphasis混淆)
#! /bin/bash
# set -x
cgd="$(git diff --cached --name-status | awk '$1 != "D" {print $2} '| tr -d '\r'| tr '\n' ' ')"
# echo "${cgd}"
for f in "${cgd[@]}";do
perl -i -ne 's/(?<!\\)_\{/\\_\{/g; print;' $f
backup_file="$(echo "$f" | sed 's/[[:space:]]*$//')".bak
# echo "${backup_file}"
[kaccess][Global Shortcuts]
Toggle Screen Reader On and Off=Meta+Alt+S
[khotkeys][Global Shortcuts]
Disable Touchpad=Touchpad Off
Enable Touchpad=Touchpad On
Show System Activity=none
Switch to Next Keyboard Layout=Ctrl+Alt+K
Toggle Touchpad=Touchpad Toggle
display=Display;\s
@v0y4g3r
v0y4g3r / notify.sh
Last active February 19, 2019 11:10
bark-bash
#! /bin/bash
in=$1
if [ -z "$in" ]
then
in=$(cat -)
fi
if [ -z "$in" ]
[{"sections":[{"urls":[],"urlPrefixes":[],"domains":[],"regexps":["https?://(www|encrypted|images|translate|accounts|books|photos).google.(com|([a-z]{2}))(.[a-z]{2})?/(?!mobile|flights|intl|alerts|finance|calendar|nexus|contacts|services|voice|maps|dashboard|settings|android|adsense|analytics|doodles|chrome|fonts|patents|translate_p).*"],"code":"/*** Main page ***/\r\nbody {\r\n background: #252525!important;\r\n color: #e8e8e8!important;\r\n}\r\n.footerInner {\r\n\tbackground: #1b1b1b!important;\r\n\tborder-color: #333!important;\r\n}\r\n/* Buttons */\r\n.jhp input[type=\"submit\"], .sbdd_a input, .gbqfba, .gb_Fa, .ab_button, #smb, #gbw > div > div > div.gb_yc.gb_xg.gb_R > div.gb_hb.gb_3c.gb_xg.gb_R.gb_g > div.gb_rb.gb_fa.gb_g > div.gb_Eb > div:nth-child(1) > a, #gb_71, .gb_Fa, #gb a.gb_Fa.gb_Fa, .gb_Ha {\r\n background-image: -moz-linear-gradient(top,#3a3a3a,#313131)!important; /* FF3.6+ */\r\n\tbackground-image: -webkit-linear-gradient(top,#3a3a3a,#313131)!important; /* Chrome10+,Safari5.1+ */\r\
@v0y4g3r
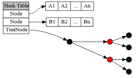
v0y4g3r / hashtable.md
Last active May 20, 2018 03:24
[hashtable.dot] 使用graphviz画hash table #graphviz

效果:

digraph g{
    rankdir=LR;
    node [shape=record,width=01,height=.1];

    a[shape=plaintext,label=<<TABLE BORDER="0" CELLBORDER="1" CELLSPACING="0">
        <TR><TD PORT="a" BGCOLOR="gray">Hash Table</TD></TR>
        <TR><TD PORT="b">Node</TD></TR>
        <TR><TD PORT="c">Node</TD></TR>
@v0y4g3r
v0y4g3r / Main.java
Created March 25, 2018 02:15
头条笔试题1-差值为k的数字对去重
import java.util.Arrays;
import java.util.BitSet;
import java.util.Scanner;
public class Main {
static int h(int[] nums, int dif) {
BitSet b = new BitSet();
for (int i : nums) {
@v0y4g3r
v0y4g3r / iptables-rules.sh
Created December 23, 2017 15:09
iptables-rules
sudo iptables -A INPUT -i lo -j ACCEPT
sudo iptables -A INPUT -m conntrack --ctstate ESTABLISHED,RELATED -j ACCEPT
sudo iptables -A INPUT -m conntrack --ctstate INVALID -j DROP
sudo iptables -A INPUT -p tcp --dport {SSHD_PORT} -s 219.223.0.0/16 -j ACCEPT
sudo iptables -A INPUT -p tcp --dport {SSHD_PORT} -j REJECT --reject-with icmp-host-unreachable
sudo iptables -A INPUT -j REJECT --reject-with icmp-host-unreachable
sudo iptables -A OUTPUT -m conntrack --ctstate ESTABLISHED,RELATED -j ACCEPT
@v0y4g3r
v0y4g3r / pom.xml
Created November 5, 2017 09:25
[基本netty项目pom]#java #maven #pom #xml
<?xml version="1.0" encoding="UTF-8"?>
<project xmlns="http://maven.apache.org/POM/4.0.0"
xmlns:xsi="http://www.w3.org/2001/XMLSchema-instance"
xsi:schemaLocation="http://maven.apache.org/POM/4.0.0 http://maven.apache.org/xsd/maven-4.0.0.xsd">
<modelVersion>4.0.0</modelVersion>
<groupId></groupId>
<artifactId></artifactId>
<version>1.0-SNAPSHOT</version>
@v0y4g3r
v0y4g3r / log4j2.xml
Last active January 22, 2018 07:20
[log4j2 config]#java #log4j2 #log
<?xml version="1.0" encoding="UTF-8"?>
<Configuration status="WARN" strict="true" name="XMLConfigTest" packages="org.apache.logging.log4j.test">
<Properties>
<Property name="baseDir">${sys:catalina.home}/logs</Property>
<Property name="filename">${baseDir}/Smartlock-Web.log</Property>
<Property name="errorFileName">${baseDir}/Smartlock-Web-err.log</Property>
</Properties>
<Filter type="ThresholdFilter" level="trace"/>
<Appenders>