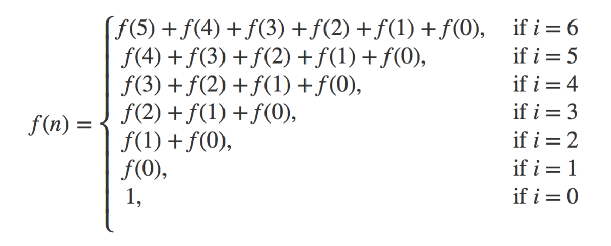
Q1 Where n is a positive integer, the function $ f(n)$ satisfies the following.
(1) Please create a program to find $ f(n)$ .(You can write in any language that you are good at.)
Here can using recursive to sloving this problem:
def fib(i):
if i<2: return 1
return fib(i-1)+fib(i-2)But can reduce the time complexity by save the return value in list:
def fibonacci(n, fib=[0, 1]):
if n >= len(fib):
for i in range(len(fib), n+1):
fib.append(fib[i-1]+fib[i-2])
return fib[n]or using DP:
class dpFib(object):
def __init__(self):
self.__result = {0: 0, 1: 1}
def fib(self, x):
if x in self.__result:
return self.__result[x]
r = self.fib(x-1) + self.fib(x-2)
self.__result[x] = r
return r
dpfib = dpFib()
print(dpfib.fib(x=8181))(2) Use the program from (1) to find $ f(8181)$.
fibonacci(n=8181)
Q2 Please implement a program that lists the nodes of a random binary tree by nodes at the same depth.
Using BFS, code:
def bfs(graph, queue, visited=None):
if visited is None:
visited = set()
if not queue:
return
start = queue.pop(0)
yield start
visited.add(start)
queue += [vertex for vertex in graph[start] - set(queue) - visited]
yield from bfs(graph, queue, visited=visited)
def bfs_paths(graph, queue, goal):
if not queue:
return
(start, path) = queue.pop(0)
if start == goal:
yield path
queue += [(vertex, path + [vertex]) for vertex in graph[start] - set(path)]
yield from bfs_paths(graph, queue, goal)
graph = {
'A': set(['B', 'C']),
'B': set(['A', 'D', 'E']),
'C': set(['A', 'F']),
'D': set(['B']),
'E': set(['B', 'F']),
'F': set(['C', 'E']),
}
print(repr([vertex for vertex in bfs(graph, ['A'])]))
print(repr([path for path in bfs_paths(graph, [('A', ['A'])], 'F')]))Output:
['A', 'C', 'B', 'F', 'D', 'E']
[['A', 'C', 'F'], ['A', 'B', 'E', 'F']]Q3 (1) Imagine you are playing a board game. You roll a 6-faced dice and move forward the same number of spaces that you rolled. If the finishing point is “n” spaces away from the starting point, please implement a program that calculates how many possible ways are there to arrive exactly at the finishing point.
/*
* Description: solve dice combinations using dynamic programing
* Complier: g++
*/
#include <iostream>
#include <string>
#include <cmath>
#include <vector>
using namespace std;
/****************************************************************
* dice Combinations: using dynamic programming
*
* Basic idea:
* dp[i][j] = sum(dp[i-1][j-k*coins[i-1]]) for k = 1,2,..., j/coins[i-1]
* dp[0][j] = 1 for j = 0, 1, 2, ..., sum
*
* Output:
* the number of combinations using dice construct sum
*
* Usage:
* c[6] = {1, 2, 3, 4, 5, 6};
* int result = diceCombinations(c, 6, 100);
*
****************************************************************/
int diceCombinations(int coins[], int diceKinds, int sum)
{
// 2-D array using vector: is equal to: dp[diceKinds+1][sum+1] = {0};
vector<vector<int> > dp(diceKinds + 1);
for (int i = 0; i <= diceKinds; ++i)
{
dp[i].resize(sum + 1);
}
for (int i = 0; i <= diceKinds; ++i)
{
for (int j = 0; j <= sum; ++j)
{
dp[i][j] = 0;
}
}
//init: dp[i][0] = 1; i = 0, 1, 2 ..., diceKinds
//Notice: dp[0][0] must be 1
//using 0 kinds of dice construct 0 has one way. but it the foundation
//of iteration. without it everything based on it goes wrong
for (int i = 0; i <= diceKinds; ++i)
{
dp[i][0] = 1;
}
// iteration: dp[i][j] = sum(dp[i-1][j - k*coins[i-1]])
// k = 0, 1, 2, ... , j / coins[i-1]
for (int i = 1; i <= diceKinds; ++i)
{
for (int j = 1; j <= sum; ++j)
{
dp[i][j] = 0;
for (int k = 0; k <= j / coins[i-1]; ++k)
{
dp[i][j] += dp[i-1][j - k * coins[i-1]];
}
}
}
return dp[diceKinds][sum];
}
int main()
{
int coins[6] = {1, 2, 3, 4, 5, 6};
int sum = 610;
int result = diceCombinations(coins, 6, 610);
cout << "using 6 kinds of dice construct 610, combinations are: " << endl;
cout << result << endl;
return 0;
}def count(S, m, n):
# We need n+1 rows as the table is consturcted in bottom up
# manner using the base case 0 value case (n = 0)
table = [[0 for x in range(m)] for x in range(n + 1)]
# Fill the enteries for 0 value case (n = 0)
for i in range(m):
table[0][i] = 1
# Fill rest of the table enteries in bottom up manner
for i in range(1, n + 1):
for j in range(m):
# Count of solutions including S[j]
x = table[i - S[j]][j] if i - S[j] >= 0 else 0
# Count of solutions excluding S[j]
y = table[i][j - 1] if j >= 1 else 0
# total count
table[i][j] = x + y
return table[n][m - 1](2) If n=610, how many possible ways are there to arrive exactly at the finishing point?
output =
Q4 Please tell us about the technologies you frequently use.
Q5 Please answer the questions below.
Thank you for your time!

