#SSA
SSA - É uma propriedade de IR, em que cada variavel é atribuida apenas uma vez, pro exemplo: y := 1 y := 2 x := y Será representada como: y1 := 1 y2 := 2 x1 := y2
Alguns algoritmos que são abilitados ou fortemente melhorados com SSA são:
- Constant Propagation
- Value Range Propagation
- Sparse Conditional
- Dead-code elimination
- Global value numbering
- Partial-redundancy elimination
- Strength reduction
- Register Allocation
Suponha esse Control Flow Graph (CFG):
Pode ser explorado no SSA mudando x para as variaveis x1 e x2:
Note que no ultimo bloco não é possivel saber qual y vai ser ultilizado, para isso usamos uma phi-function (Φ-function), que diz qual variavel foi ultilizada, note que x2 não precisou de phi, pois Φ(x2,x2) = x2:
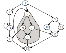
Em uma CFG arbritaria pode ser dificil dizer onde usar phi-function, mas esse problema pode ser facilmente resolvido usando um conceito chamado Dominance Frontiers.
É dito que A domina estritamente B se para chegar em B temos que passar por A no grafo. A domina B se estritamente domina ou se A=B.
Se B é dominado por A e existe uma aresta de B->C onde C não é estritamente dominado por A, então C está na Dominance Frontier de A.
For example, in this graph node 5’s dominated region
is shown in grey, and the border of that region is crossed
by edges 6 → 4, 8 → 5, 8 → 13, and 7 → 12. So we
say that nodes 4, 5, 12, 13 form the dominance frontier of
node 5.



